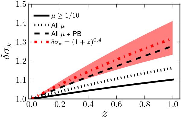
Fig. 12
 
      Velocity dispersion normalised to its local value, δσ ⋆ , as a function of redshift. The dott-dashed line is the observed evolution, δσ ⋆ = (1 + z)0.4. The shaded area marks the 68% confidence interval. The solid line is the evolution due to major and minor mergers (μ ≥ 1/10) expected from our results. The dotted line is the expected evolution when very minor mergers (μ < 1/10) are taken into account. The dashed line is the expected evolution when very minor mergers and the progenitor bias (PB) are included (see text for details).
Current usage metrics show cumulative count of Article Views (full-text article views including HTML views, PDF and ePub downloads, according to the available data) and Abstracts Views on Vision4Press platform.
Data correspond to usage on the plateform after 2015. The current usage metrics is available 48-96 hours after online publication and is updated daily on week days.
Initial download of the metrics may take a while.
