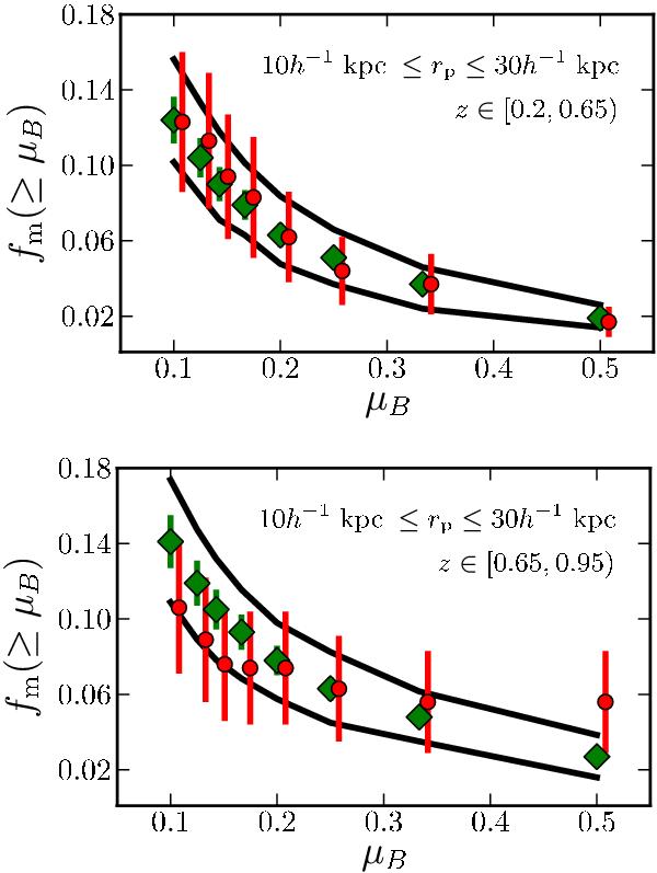
Fig. 4
 
      Merger fraction of  galaxies as a function of luminosity difference in the B-band, μB, at z ∈  [0.2,0.65) (top) and z ∈  [0.65,0.95) (bottom) for 10   h-1  kpc ≤ rp ≤ 30   h-1 kpc close pairs. Diamonds are from present work in COSMOS (photometric catalogue) while dots are from VVDS-Deep (LS11, spectroscopic catalogue). The black solid lines in both panels show the maximum and minimum merger fractions, including 1σfm errors, when we split the COSMOS field in VVDS-Deep size subfields (~0.5 deg2).
 galaxies as a function of luminosity difference in the B-band, μB, at z ∈  [0.2,0.65) (top) and z ∈  [0.65,0.95) (bottom) for 10   h-1  kpc ≤ rp ≤ 30   h-1 kpc close pairs. Diamonds are from present work in COSMOS (photometric catalogue) while dots are from VVDS-Deep (LS11, spectroscopic catalogue). The black solid lines in both panels show the maximum and minimum merger fractions, including 1σfm errors, when we split the COSMOS field in VVDS-Deep size subfields (~0.5 deg2).
Current usage metrics show cumulative count of Article Views (full-text article views including HTML views, PDF and ePub downloads, according to the available data) and Abstracts Views on Vision4Press platform.
Data correspond to usage on the plateform after 2015. The current usage metrics is available 48-96 hours after online publication and is updated daily on week days.
Initial download of the metrics may take a while.
 
  
          