Free Access

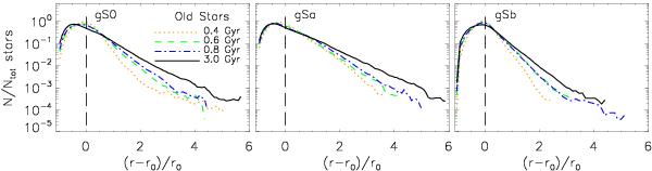
Fig. 5

thumbnail

The distribution of fractional changes in initial radius, (r − r0)/r0, for the same time outputs as in Fig. 4. Particles out to 40 kpc are considered. The distributions are asymmetric across the zero value (vertical dashed line) indicating that the discs expand.

Current usage metrics show cumulative count of Article Views (full-text article views including HTML views, PDF and ePub downloads, according to the available data) and Abstracts Views on Vision4Press platform.

Data correspond to usage on the plateform after 2015. The current usage metrics is available 48-96 hours after online publication and is updated daily on week days.

Initial download of the metrics may take a while.