Free Access
    
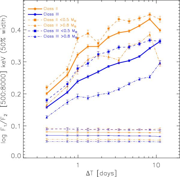
Fig. 5
 
      Variability amplitude, VA, as a function of timescale for Class II and Class III stars, for the full samples (same as in Fig. 4) and for two mass-segregated subsamples (see caption).
Current usage metrics show cumulative count of Article Views (full-text article views including HTML views, PDF and ePub downloads, according to the available data) and Abstracts Views on Vision4Press platform.
Data correspond to usage on the plateform after 2015. The current usage metrics is available 48-96 hours after online publication and is updated daily on week days.
Initial download of the metrics may take a while.
