Free Access

Fig. 3

thumbnail

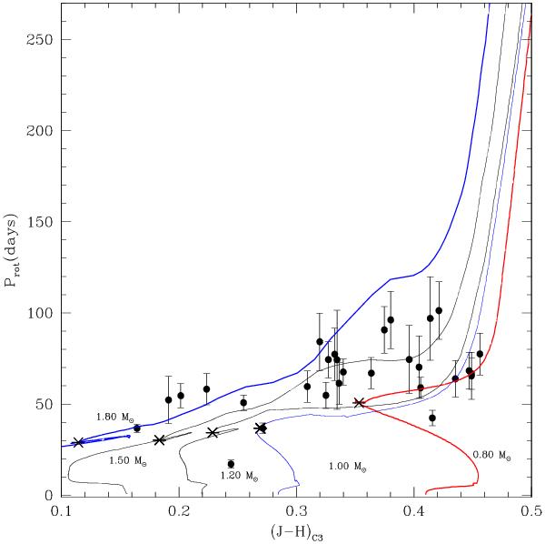
Rotation period evolution from the main sequence to the giant branch as a function of (J − H)C3 index. The models are shown for [Fe/H] = 0 and different stellar masses computed with differential rotation. Filled circles stand for rotational periods determined as described in Sect. 2. The beginning of the subgiant branch (turn-off point) is flagged with an asterisk.

Current usage metrics show cumulative count of Article Views (full-text article views including HTML views, PDF and ePub downloads, according to the available data) and Abstracts Views on Vision4Press platform.

Data correspond to usage on the plateform after 2015. The current usage metrics is available 48-96 hours after online publication and is updated daily on week days.

Initial download of the metrics may take a while.