Free Access

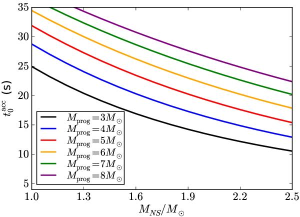
Fig. 3

thumbnail

Time since the SN explosion when the accretion process onto the NS starts as a function of the initial mass of the NS MNS and for selected values of the initial ejected mass Mej,0, for GRB 090618.

Current usage metrics show cumulative count of Article Views (full-text article views including HTML views, PDF and ePub downloads, according to the available data) and Abstracts Views on Vision4Press platform.

Data correspond to usage on the plateform after 2015. The current usage metrics is available 48-96 hours after online publication and is updated daily on week days.

Initial download of the metrics may take a while.