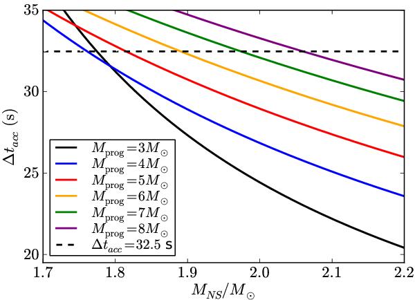
Fig. 4
 
      Time interval Δtacc of the accretion process onto the NS as a function of initial NS mass MNS for selected values of the SN core progenitor mass Mcore. The horizontal dashed line is the duration of the first episode of GRB 090618, Δt = 32.5 s, which constrains the duration of the time needed by the NS to reach the critical mass. The crossing points between the dashed horizontal line and the solid curves give the NSs with MNS that reach the critical mass in the time Δt.
Current usage metrics show cumulative count of Article Views (full-text article views including HTML views, PDF and ePub downloads, according to the available data) and Abstracts Views on Vision4Press platform.
Data correspond to usage on the plateform after 2015. The current usage metrics is available 48-96 hours after online publication and is updated daily on week days.
Initial download of the metrics may take a while.
