Free Access
    
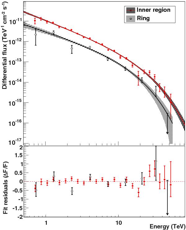
Fig. 2
 
      Differential γ-ray spectrum of Vela X in the TeV energy range. Filled red circles: inner integration region <0.8°; open black circles: ring extension (between 0.8° and 1.2°). Both spectra are fitted with a power law with exponential cutoff. The shaded bands correspond to the statistical uncertainty of the fit.
Current usage metrics show cumulative count of Article Views (full-text article views including HTML views, PDF and ePub downloads, according to the available data) and Abstracts Views on Vision4Press platform.
Data correspond to usage on the plateform after 2015. The current usage metrics is available 48-96 hours after online publication and is updated daily on week days.
Initial download of the metrics may take a while.
