Free Access

Fig. 1

thumbnail

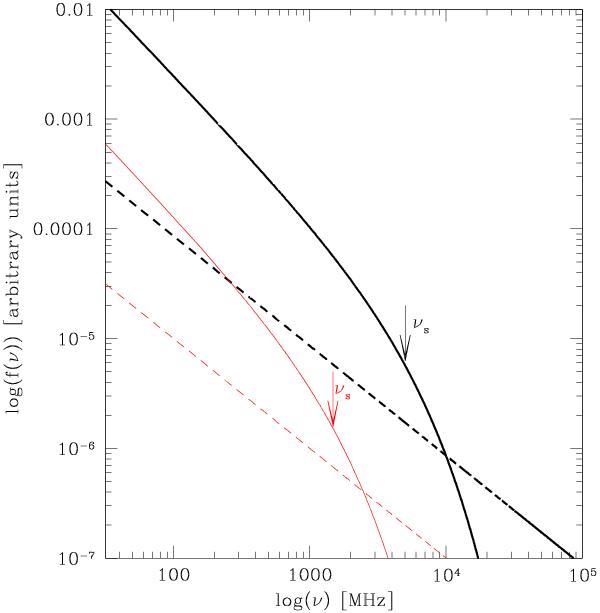
Reference spectra of “turbulent” radio halos (solid lines) and “off-state” (hadronic) halos (dashed lines) in a massive (i.e., Mv ~ 2.5  ×  1015   M; black thick lines) and less massive (i.e., Mv ~ 1015   M; red thin lines) cluster. Arrows indicate the position of the steepening frequency, νs, in the two cases. The turbulent spectra are computed assuming in both cases a merger event with a sub-clump of mass ΔM = 5  ×  1014   M at z = 0.023.

Current usage metrics show cumulative count of Article Views (full-text article views including HTML views, PDF and ePub downloads, according to the available data) and Abstracts Views on Vision4Press platform.

Data correspond to usage on the plateform after 2015. The current usage metrics is available 48-96 hours after online publication and is updated daily on week days.

Initial download of the metrics may take a while.