Free Access

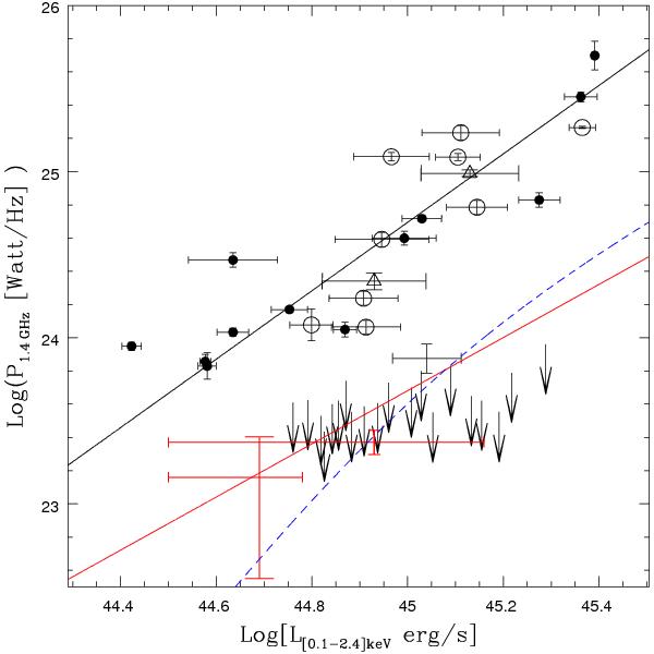
Fig. 5

thumbnail

Correlation between the radio halo luminosity at 1.4 GHz and the cluster X-ray luminosity. Clusters from the literature (filled circle) and clusters from the GMRT RH Survey (Venturi et al. 2008; open circles and black arrows) are reported. The red crosses are obtained by staking the radio images of clusters from the SUMSS survey (Brown et al. 2011). On the same figure we also report the two scalings adopted in the present paper for halos produced by secondary electrons: case a) (blue dashed line) and case b) (red solid line) (see text for details).

Current usage metrics show cumulative count of Article Views (full-text article views including HTML views, PDF and ePub downloads, according to the available data) and Abstracts Views on Vision4Press platform.

Data correspond to usage on the plateform after 2015. The current usage metrics is available 48-96 hours after online publication and is updated daily on week days.

Initial download of the metrics may take a while.