Free Access

Fig. 9

thumbnail

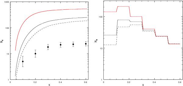
Left panel: expected integral number (all-sky) of radio halos as a function of redshift in EMU+WODAN. Right panel: expected number of RH (all-sky) in redshift intervals in EMU+WODAN. The reference set of model parameters (b = 1.5, B ⟨ M ⟩  = 1.9   μG,  ⟨ M ⟩   =  1.6  ×  1015   M and ηt = 0.2) is assumed. In both panels black lines show the total number of halos (“turbulent”+“off-state” halos, solid) and of “turbulent” halos (dashed) obtained by considering Eq. (9) with ξ1 = 3 to derive fmin(z); while red upper lines show the total number of halos (“turbulent”+“off-state” halos) obtained by adopting Eq. (11) with ξ2 = 10. Points show the integral number of radio halos observed so far.

This figure is made of several images, please see below:

Current usage metrics show cumulative count of Article Views (full-text article views including HTML views, PDF and ePub downloads, according to the available data) and Abstracts Views on Vision4Press platform.

Data correspond to usage on the plateform after 2015. The current usage metrics is available 48-96 hours after online publication and is updated daily on week days.

Initial download of the metrics may take a while.