Free Access

Fig. 2

thumbnail

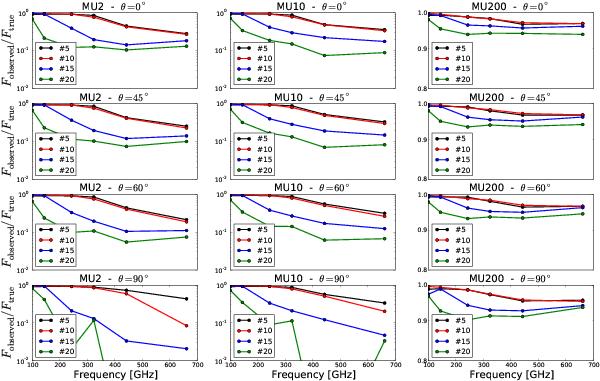
Ratio Fobs/Fmodel of the observed flux to the model flux as a function of frequency, for the three different models (MU2, MU10, and MU200), four array configurations (C = 5,10,15,20), and four inclinations (θ = 0°,45°,60°,90°). Magnetization level decreases from left to right, and inclination angle θ increases from top to bottom.

Current usage metrics show cumulative count of Article Views (full-text article views including HTML views, PDF and ePub downloads, according to the available data) and Abstracts Views on Vision4Press platform.

Data correspond to usage on the plateform after 2015. The current usage metrics is available 48-96 hours after online publication and is updated daily on week days.

Initial download of the metrics may take a while.