Free Access

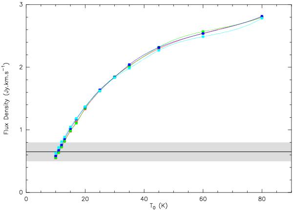
Fig. 5

thumbnail

Predicted CS J = 5–4 line flux from the best fit models derived from CS J = 3–2 observations, as a function of assumed kinetic temperature profile. The 4 curves corresponding to the different exponents q = 0, 0.2, 0.4, and 0.6 are essentially degenerate. Errorbars are  ± 1σ. The shaded gray area indicates the measured line flux and its  ± 1σ range. Calibration uncertainty is not included.

Current usage metrics show cumulative count of Article Views (full-text article views including HTML views, PDF and ePub downloads, according to the available data) and Abstracts Views on Vision4Press platform.

Data correspond to usage on the plateform after 2015. The current usage metrics is available 48-96 hours after online publication and is updated daily on week days.

Initial download of the metrics may take a while.