Free Access

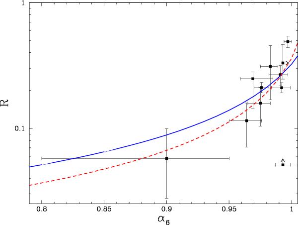
Fig. 7

thumbnail

6 μm-to-IR ratio (R) versus α6. The red dashed line is our best fit for the relation between R and α6 given by Eq. (6). The blue solid line is the best fit obtained by N08 for a sample of ULIRG.

Current usage metrics show cumulative count of Article Views (full-text article views including HTML views, PDF and ePub downloads, according to the available data) and Abstracts Views on Vision4Press platform.

Data correspond to usage on the plateform after 2015. The current usage metrics is available 48-96 hours after online publication and is updated daily on week days.

Initial download of the metrics may take a while.