Free Access

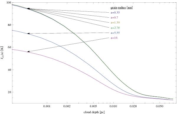
Fig. 10

thumbnail

Dust temperatures of neutral PAHs for a model clump of M = 10 M, n = 105 cm-3, and χ = 1000 using the WD01-7 dust model. The different lines denote different PAH sizes.

Current usage metrics show cumulative count of Article Views (full-text article views including HTML views, PDF and ePub downloads, according to the available data) and Abstracts Views on Vision4Press platform.

Data correspond to usage on the plateform after 2015. The current usage metrics is available 48-96 hours after online publication and is updated daily on week days.

Initial download of the metrics may take a while.