Free Access

Fig. 18

thumbnail

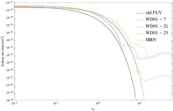
Photoelectric heating rate for a model clump of M = 10 M, n = 105 cm-3, and χ = 1000. The different lines denote different dust compositions. Models with an MRN dust composition apply the PE heating efficiency as given by Bakes & Tielens (1994). Dotted lines indicate a shift from heating to cooling because of Λgr > Γpc.

Current usage metrics show cumulative count of Article Views (full-text article views including HTML views, PDF and ePub downloads, according to the available data) and Abstracts Views on Vision4Press platform.

Data correspond to usage on the plateform after 2015. The current usage metrics is available 48-96 hours after online publication and is updated daily on week days.

Initial download of the metrics may take a while.