Free Access

Fig. 2

thumbnail

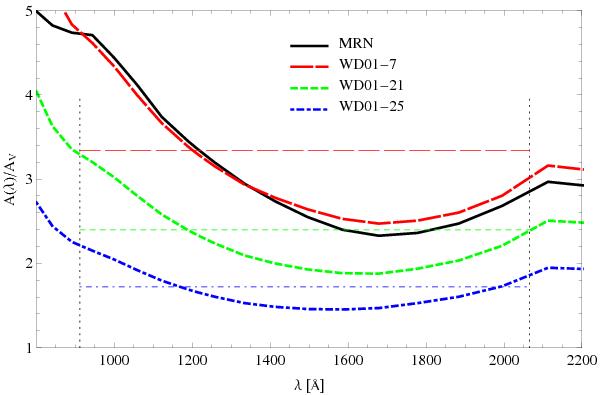
Relative extinction for the dust models of MRN (solid) , WD01-7 (long-dashed; red in electronic version); WD01-21 (short-dashed; green in the electronic version) and WD01-25 (dot-dot-dashed; blue in the electronic version) of interstellar dust. The vertical dotted lines at wavelengths of 912 and 2066 Å, corresponding to 13.6 and 6 eV, show the range of averaging. The horizontal lines show kFUV for the considered models.

Current usage metrics show cumulative count of Article Views (full-text article views including HTML views, PDF and ePub downloads, according to the available data) and Abstracts Views on Vision4Press platform.

Data correspond to usage on the plateform after 2015. The current usage metrics is available 48-96 hours after online publication and is updated daily on week days.

Initial download of the metrics may take a while.