Free Access

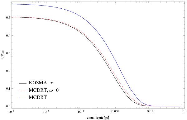
Fig. 4

thumbnail

Mean intensity of the UV radiation vs. cloud depth. The black line corresponds to the old KOSMA-τ result for pure absorption. The blue line corresponds to the MCDRT result for an MRN distribution with full treatment of scattering and absorption. The dashed line is the result for an MRN distribution with the albedo artificially set to zero.

Current usage metrics show cumulative count of Article Views (full-text article views including HTML views, PDF and ePub downloads, according to the available data) and Abstracts Views on Vision4Press platform.

Data correspond to usage on the plateform after 2015. The current usage metrics is available 48-96 hours after online publication and is updated daily on week days.

Initial download of the metrics may take a while.