Free Access

Fig. 2

thumbnail

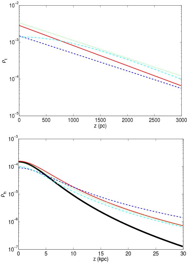
The vertical density profiles of thick disc (top panel) and halo (bottom panel) of parameter set 1 (black, thick solid line), set 2 (red, solid line), set 3 (blue, dashed line), set 4 (green, dotted line), and set 5 (cyan, dashed-dotted line). There is no thick disc in set 1. The z ranges of the panels are different. The vertical axis ρt and ρh are the densities of the thick disc and the halo in units of M   pc-3. (A colour version is available on-line.)

This figure is made of several images, please see below:

Current usage metrics show cumulative count of Article Views (full-text article views including HTML views, PDF and ePub downloads, according to the available data) and Abstracts Views on Vision4Press platform.

Data correspond to usage on the plateform after 2015. The current usage metrics is available 48-96 hours after online publication and is updated daily on week days.

Initial download of the metrics may take a while.