Free Access

Fig. 8

thumbnail

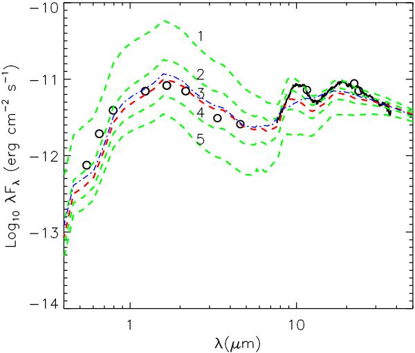
SED of the source ID#11. The open circles show the broad-band photometry of ID#11, and the IRS spectrum of this source is shown in black. The dashed lines marked by numbers 1–5 show model SEDs for a same model disk with different inclination angles. From model 1 to model 5, the inclination angles are 83°, 84°, 84.5°, 85°, and 86°, respectively. In the model, we added a few small dust grains to the hole of the disk. The model with disk inclination  ~84.5° best fits the SED of ID#11. The dash-dotted line shows the model SED for a disk (inclination angle  ~84°) without small dust grains in the disk hole. The model SED generally fits the shape of the observed SED of ID#11, but fails to reproduce the observed silicate features.

Current usage metrics show cumulative count of Article Views (full-text article views including HTML views, PDF and ePub downloads, according to the available data) and Abstracts Views on Vision4Press platform.

Data correspond to usage on the plateform after 2015. The current usage metrics is available 48-96 hours after online publication and is updated daily on week days.

Initial download of the metrics may take a while.