Free Access

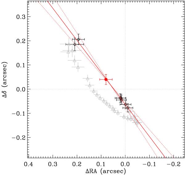
Fig. 9

thumbnail

2D spectroastrometric map for the Brγ line. The red point marks the inferred position of the point-like mass. The red solid line represents the line of nodes of the disk obtained from a linear fit to the HV points, as described in the text. The dotted red lines represent the 1σ uncertainties on the position angle of line of nodes. The origin of the map is the position on the sky plane of the PA1 slit center (which corresponds to the continuum peak position).

Current usage metrics show cumulative count of Article Views (full-text article views including HTML views, PDF and ePub downloads, according to the available data) and Abstracts Views on Vision4Press platform.

Data correspond to usage on the plateform after 2015. The current usage metrics is available 48-96 hours after online publication and is updated daily on week days.

Initial download of the metrics may take a while.