Free Access

Fig. 20

thumbnail

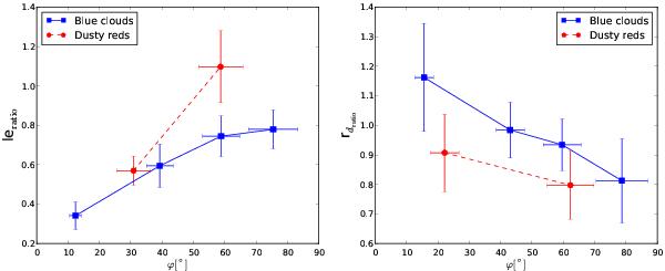
Leading edge ratio leratio (left panel) and scale length ratio rdratio (right panel), respectively, as a function of the projected infall-angle ϕ for blue cloud (blue squares, solid line) and dusty red galaxies (red circles, dashed line). Left panel: the leading edge ratio decreases as the infall becomes more edge-on. Right panel: the scale length ratio declines for a more face-on infall (binsize: blue clouds = 15, dusty reds = 10).

Current usage metrics show cumulative count of Article Views (full-text article views including HTML views, PDF and ePub downloads, according to the available data) and Abstracts Views on Vision4Press platform.

Data correspond to usage on the plateform after 2015. The current usage metrics is available 48-96 hours after online publication and is updated daily on week days.

Initial download of the metrics may take a while.