Free Access

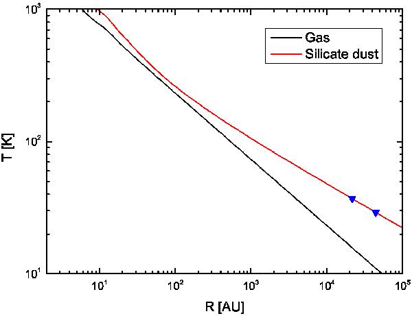
Fig. 5

thumbnail

Temperature gradient delivered by the stationary wind model (see Sect. 4.1.2). The dust temperatures of the eastern arm derived from the PACS band photometry (37 K and 29 K; blue triangles) correspond to distances of 21 500 AU and 43 700 AU in the wind model.

Current usage metrics show cumulative count of Article Views (full-text article views including HTML views, PDF and ePub downloads, according to the available data) and Abstracts Views on Vision4Press platform.

Data correspond to usage on the plateform after 2015. The current usage metrics is available 48-96 hours after online publication and is updated daily on week days.

Initial download of the metrics may take a while.