Free Access

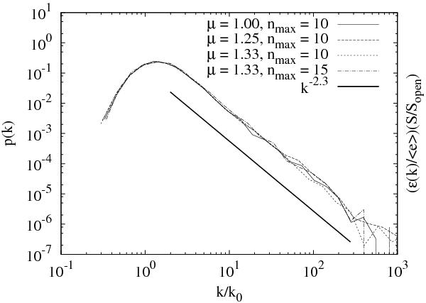
Fig. 3

thumbnail

Distribution p(k) as a function of the normalized wavevector k/k0, calculated for different values of the parameters μ and nmax of the equilibrium magnetic field B(0). The quantity p(k) is proportional to the fluctuation spectrum per unit volume ϵ(k) in the homogeneous region. A power law with slope −α = −2.3 is also shown for comparison.

Current usage metrics show cumulative count of Article Views (full-text article views including HTML views, PDF and ePub downloads, according to the available data) and Abstracts Views on Vision4Press platform.

Data correspond to usage on the plateform after 2015. The current usage metrics is available 48-96 hours after online publication and is updated daily on week days.

Initial download of the metrics may take a while.