Free Access

This article has an erratum: [https://doi.org/10.1051/0004-6361/201219416e]


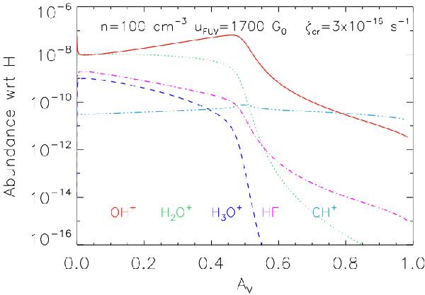
Fig. 5

thumbnail

Abundance of OH+, H2O+, H3O+, CH+, and HF as a function of visual extinction, AV, predicted by the Meudon PDR code for a slab of gas with nH = 100 cm-3, ζcr = 3 × 10-16 s-1 and irradiated from the right by an FUV field of 1700 G0.

Current usage metrics show cumulative count of Article Views (full-text article views including HTML views, PDF and ePub downloads, according to the available data) and Abstracts Views on Vision4Press platform.

Data correspond to usage on the plateform after 2015. The current usage metrics is available 48-96 hours after online publication and is updated daily on week days.

Initial download of the metrics may take a while.