Free Access

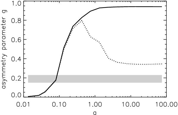
Fig. 7

thumbnail

Asymmetry parameter g as a function of particle size at 0.6 μm, calculated in two different ways. The solid line uses the formal definition g ≡  ⟨ cos   θ ⟩ , the dotted line is a Henyey-Greenstein function fitted to the phase function in the observed range of scattering angles. The observed range of values of the asymmetry parameter is indicated by the gray area.

Current usage metrics show cumulative count of Article Views (full-text article views including HTML views, PDF and ePub downloads, according to the available data) and Abstracts Views on Vision4Press platform.

Data correspond to usage on the plateform after 2015. The current usage metrics is available 48-96 hours after online publication and is updated daily on week days.

Initial download of the metrics may take a while.