Free Access

Fig. 8

thumbnail

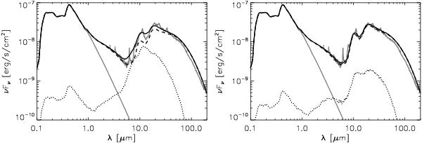
Observed SED of HD 100546 plus photosphere (gray lines). The solid lines are two model SEDs with our best-fit aggregate in the entire outer disk (left) and with aggregates outside of 20 AU (right). The dotted and dashed lines denote the contributions to the SED of scattered light and thermal emission, respectively.

This figure is made of several images, please see below:

Current usage metrics show cumulative count of Article Views (full-text article views including HTML views, PDF and ePub downloads, according to the available data) and Abstracts Views on Vision4Press platform.

Data correspond to usage on the plateform after 2015. The current usage metrics is available 48-96 hours after online publication and is updated daily on week days.

Initial download of the metrics may take a while.