Free Access

Fig. 11

thumbnail

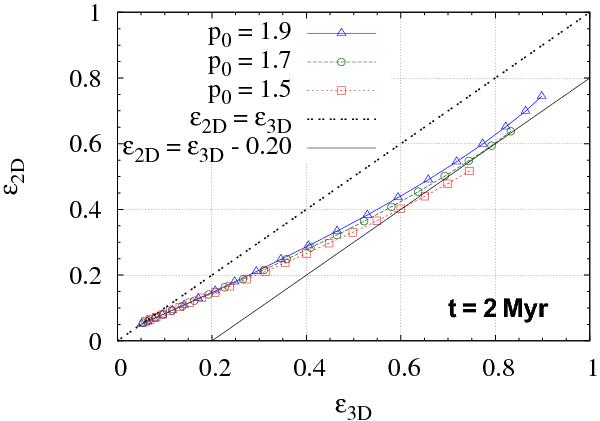
Two-dimensional star formation efficiency, ϵ2D (Eq. (23)) against its three-dimensional counterpart, ϵ3D (Eq. (22)). The (black) dotted and solid lines correspond to ϵ2D = ϵ3D and ϵ2D = ϵ3D − 0.20. ϵ2D, the observed efficiency, is lower than ϵ3D, the actual efficiency, because surface densities measured around the clump centre intercept clump outskirts where the gas volume density and ϵ3D are lower.

Current usage metrics show cumulative count of Article Views (full-text article views including HTML views, PDF and ePub downloads, according to the available data) and Abstracts Views on Vision4Press platform.

Data correspond to usage on the plateform after 2015. The current usage metrics is available 48-96 hours after online publication and is updated daily on week days.

Initial download of the metrics may take a while.