Free Access

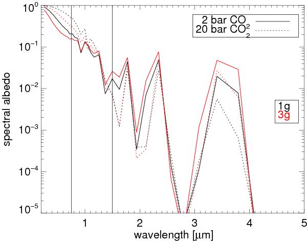
Fig. 6

thumbnail

Spectral albedo for a 2 and a 20 bar CO2 atmosphere with surface temperature 288 K (corresponding to 17 mbar of H2O), 1 bar of N2 and AS = 0.13. 1g and 3g planets indicated in black and red, respectively. Window regime is indicated by vertical lines.

Current usage metrics show cumulative count of Article Views (full-text article views including HTML views, PDF and ePub downloads, according to the available data) and Abstracts Views on Vision4Press platform.

Data correspond to usage on the plateform after 2015. The current usage metrics is available 48-96 hours after online publication and is updated daily on week days.

Initial download of the metrics may take a while.