Free Access

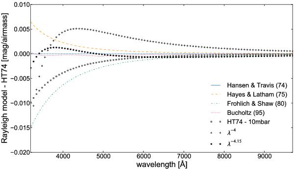
Fig. 2

thumbnail

Comparison between different methods to model the Rayleigh scattering in the SNIFS wavelength range from Hansen & Travis (1974) (blue), Hayes & Latham (1975) (yellow), Froehlich & Shaw (1980) (green) and Bucholtz (1995) (red). The comparison is made for the mean pressure at the Mauna Kea summit (616 mbar). The discrepancies between the different models are less than 1.5% over the wavelength range considered in this paper.

Current usage metrics show cumulative count of Article Views (full-text article views including HTML views, PDF and ePub downloads, according to the available data) and Abstracts Views on Vision4Press platform.

Data correspond to usage on the plateform after 2015. The current usage metrics is available 48-96 hours after online publication and is updated daily on week days.

Initial download of the metrics may take a while.