Free Access

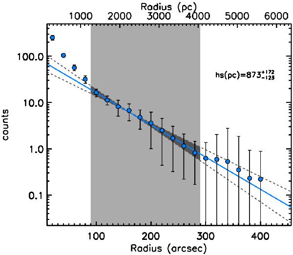
Fig. 3

thumbnail

B-band scalelength of the stellar disk of NGC 4214. The fit (solid line) was achieved using the isophotes in the radial range marked by the grey-shaded area. The uncertainty in the slope is represented by the dark grey area and the dark grey dashed lines.

Current usage metrics show cumulative count of Article Views (full-text article views including HTML views, PDF and ePub downloads, according to the available data) and Abstracts Views on Vision4Press platform.

Data correspond to usage on the plateform after 2015. The current usage metrics is available 48-96 hours after online publication and is updated daily on week days.

Initial download of the metrics may take a while.