Free Access

Fig. 10

thumbnail

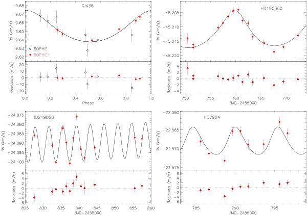
Known low-mass exoplanets host stars measured with SOPHIE+. Upper left panel: phase-folded radial velocity curve of Gl 436. The model includes the 2.6-day Keplerian. Residuals of SOPHIE+ data (red, filled diamonds) are less dispersed than those obtained without the octagonal fiber (black, open diamonds). Upper right panel: SOPHIE+ radial velocities of HD 190360 as a function of time. The model includes the 17.1-day Keplerian and the long-period planet, which produces a  ~1  m s-1drift on the 3-week span displayed here. Lower left panel: SOPHIE+ radial velocities of HD 219828 as a function of time. The model includes the 3.8-day Keplerian, as well as the long-period planet which produces a  ~2  m s-1drift on the 1-month span displayed here. Lower right panel: SOPHIE+ radial velocities of HD 7924 as a function of time. The model only includes the 5.4-day Keplerian.

Current usage metrics show cumulative count of Article Views (full-text article views including HTML views, PDF and ePub downloads, according to the available data) and Abstracts Views on Vision4Press platform.

Data correspond to usage on the plateform after 2015. The current usage metrics is available 48-96 hours after online publication and is updated daily on week days.

Initial download of the metrics may take a while.