Free Access

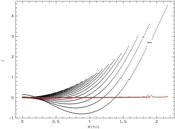
Fig. 3

thumbnail

Second integral of motion I (polynomial of order 12) versus xinit for 2085 orbits covering 19 energies. Orbits with the same energy draw 19 dotted lines. Box orbits have I > 0, tube orbits have I < 0. The red continuous line is the dispersion of I, it increases at resonances.

Current usage metrics show cumulative count of Article Views (full-text article views including HTML views, PDF and ePub downloads, according to the available data) and Abstracts Views on Vision4Press platform.

Data correspond to usage on the plateform after 2015. The current usage metrics is available 48-96 hours after online publication and is updated daily on week days.

Initial download of the metrics may take a while.