Highlight
Free Access

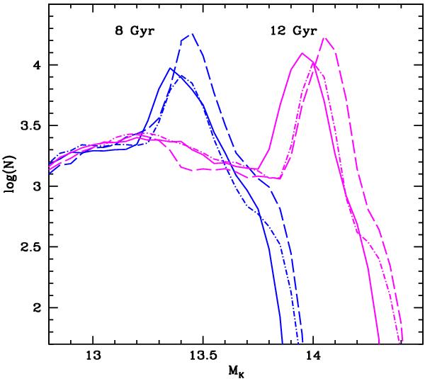
Fig. 4

thumbnail

Same as the lower panel of Fig. 3, but for two ages – 8 and 12 Gyr – and three different chemical compositions. The solid lines show the LFs at solar chemical composition, while the dotted-dashed and long-dashed lines display the α-enhanced ([α/Fe] = 0.4) LFs for two more metal-poor chemical compositions, [Fe/H] = −0.7 and [Fe/H] = −2.1.

Current usage metrics show cumulative count of Article Views (full-text article views including HTML views, PDF and ePub downloads, according to the available data) and Abstracts Views on Vision4Press platform.

Data correspond to usage on the plateform after 2015. The current usage metrics is available 48-96 hours after online publication and is updated daily on week days.

Initial download of the metrics may take a while.