Free Access

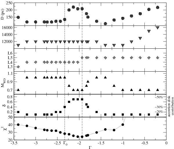
Fig. 8

thumbnail

Relations of distance, white dwarf temperature, spectral type of the secondary, mass of the primary, contribution of the accretion disk, and χ2 (from the top to the bottom) vs. the slope of the power law spectrum of the accretion disk. The two models presented in Fig. 7 are marked by vertical lines.

Current usage metrics show cumulative count of Article Views (full-text article views including HTML views, PDF and ePub downloads, according to the available data) and Abstracts Views on Vision4Press platform.

Data correspond to usage on the plateform after 2015. The current usage metrics is available 48-96 hours after online publication and is updated daily on week days.

Initial download of the metrics may take a while.