Free Access

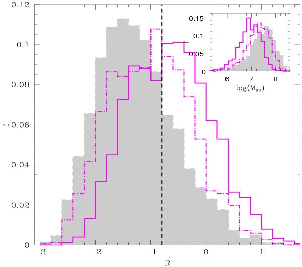
Fig. 7

thumbnail

Distribution of ℛ for barred active galaxies (solid line) and unbarred active galaxies (full surfaces). The small box corresponds to the distribution of log (MBH). Dot-dashed lines represent the log (MBH) and ℛ distributions for barred active galaxies, using the same parameters α and β, as for the unbarred control sample.

Current usage metrics show cumulative count of Article Views (full-text article views including HTML views, PDF and ePub downloads, according to the available data) and Abstracts Views on Vision4Press platform.

Data correspond to usage on the plateform after 2015. The current usage metrics is available 48-96 hours after online publication and is updated daily on week days.

Initial download of the metrics may take a while.