Free Access

Fig. 3

thumbnail

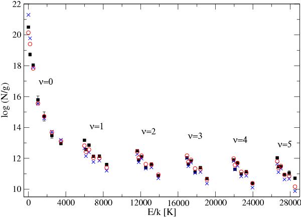
Logarithms of H2 column densities divided by statistical weight plotted versus energy (squares with error bar). The ν symbol denotes the vibrational quantum number. For ν = 0 rotational quantum numbers are J = 0–6, and J = 0–5 for vibrationally excited levels (ν > 0). The first PDR cloud model is shown as circles. The second model is shown as crosses.

Current usage metrics show cumulative count of Article Views (full-text article views including HTML views, PDF and ePub downloads, according to the available data) and Abstracts Views on Vision4Press platform.

Data correspond to usage on the plateform after 2015. The current usage metrics is available 48-96 hours after online publication and is updated daily on week days.

Initial download of the metrics may take a while.