Free Access

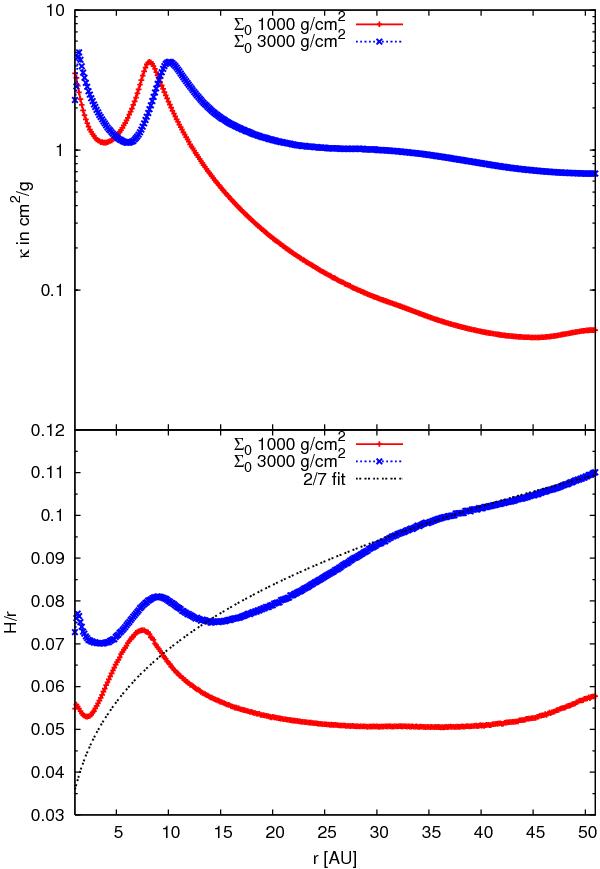
Fig. 7

thumbnail

Aspect ratio H/r of the stellar irradiated outer disc (bottom) calculated using the mid-plane values for discs with constant viscosity and non constant opacity as in Fig. 1 and the corresponding opacity values for κR (top). Starting from a flared disc profile the discs are evolved until they reach thermal equilibrium. The different colours indicate different Σ0-values. The red line represents the outer disc simulation corresponding to the inner disc simulation shown in Fig. 5.

Current usage metrics show cumulative count of Article Views (full-text article views including HTML views, PDF and ePub downloads, according to the available data) and Abstracts Views on Vision4Press platform.

Data correspond to usage on the plateform after 2015. The current usage metrics is available 48-96 hours after online publication and is updated daily on week days.

Initial download of the metrics may take a while.