Free Access

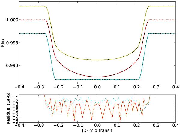
Fig. 3

thumbnail

Comparing the photometric results of SOAP-T and the theoretical model of a transiting planet over an unspotted star (Mandel & Agol 2002). The cyan, red, and yellow lines show SOAP-T’s results for a star without limb darkening, a star with linear limb darkening (γ1 = 0.6), and a star with quadratic limb darkening (γ1 = 0.29 and γ2 = 0.34), respectively. The dash-dotted, dashed, and the dotted lines show the corresponding results using the mechanism by Mandel & Agol (2002).

Current usage metrics show cumulative count of Article Views (full-text article views including HTML views, PDF and ePub downloads, according to the available data) and Abstracts Views on Vision4Press platform.

Data correspond to usage on the plateform after 2015. The current usage metrics is available 48-96 hours after online publication and is updated daily on week days.

Initial download of the metrics may take a while.