Free Access

Fig. 11

thumbnail

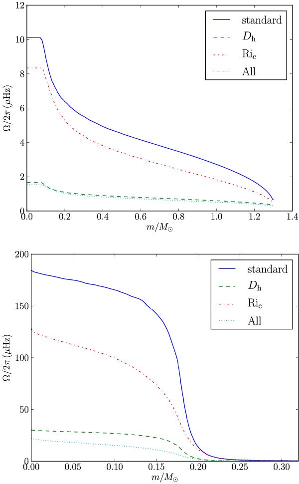
Top: rotation profiles for 1.3 M models at the end of the MS calculated assuming standard viscosity coefficients (standard), a vertical turbulent viscosity DV computed with Ric = 1 (Ric), a horizontal viscosity coefficient 100 times the standard value (Dh), and all of the above (All). Bottom: the same for models at the base of the RGB when R = 3.73 Rν = 21.3 μHz).

This figure is made of several images, please see below:

Current usage metrics show cumulative count of Article Views (full-text article views including HTML views, PDF and ePub downloads, according to the available data) and Abstracts Views on Vision4Press platform.

Data correspond to usage on the plateform after 2015. The current usage metrics is available 48-96 hours after online publication and is updated daily on week days.

Initial download of the metrics may take a while.