Free Access

Fig. 3

thumbnail

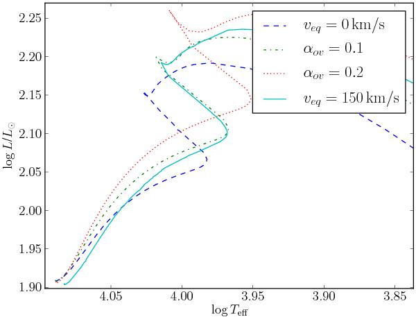
Evolutionary tracks on the HRD for a 3 M model calculated with CESTAM code assuming either no extra mixing (dashed) or rotation with an initial equatorial velocity veq = 150 km s-1 at the ZAMS (continuous line) or without rotation but with overshooting and αov = 0.1 (dot-dashed line) and αov = 0.2 (dotted line).

Current usage metrics show cumulative count of Article Views (full-text article views including HTML views, PDF and ePub downloads, according to the available data) and Abstracts Views on Vision4Press platform.

Data correspond to usage on the plateform after 2015. The current usage metrics is available 48-96 hours after online publication and is updated daily on week days.

Initial download of the metrics may take a while.