Free Access

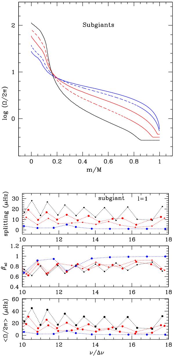
Fig. 9

thumbnail

Top panel: rotation profiles (logarithmic scale) as a function of the normalized mass m/M for 1.3 M subgiant models #12 (blue solid) to #17 (black solid) as indicated in Fig. 4. Second panel: rotational splittings for l = 1 modes as a function of the normalized frequency νν for model #12, #14, #15 and #16. Third panel: βnℓ for the same models. Bottom panel:  ⟨ Ω ⟩ /2π = δνnℓ/βnℓ for the same models. The large separation Δν goes from 56.5 μHz (model #12) to 38.0 μHz (model #16).

This figure is made of several images, please see below:

Current usage metrics show cumulative count of Article Views (full-text article views including HTML views, PDF and ePub downloads, according to the available data) and Abstracts Views on Vision4Press platform.

Data correspond to usage on the plateform after 2015. The current usage metrics is available 48-96 hours after online publication and is updated daily on week days.

Initial download of the metrics may take a while.