Free Access

Fig. 1

thumbnail

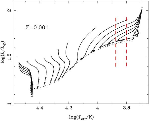
Constructed HB evolutionary tracks. The metallicity is Z = 0.001. The HB evolution is terminated when the helium abundance drops below 0.001 at the star center. The ZAHB is shown as the dotted line at the bottom of each evolutionary track. The time interval between two adjacent  +  symbols in each track is 107 years. The region between the two vertical dashed red lines denotes the RR Lyrae instability strip.

Current usage metrics show cumulative count of Article Views (full-text article views including HTML views, PDF and ePub downloads, according to the available data) and Abstracts Views on Vision4Press platform.

Data correspond to usage on the plateform after 2015. The current usage metrics is available 48-96 hours after online publication and is updated daily on week days.

Initial download of the metrics may take a while.