Free Access

Fig. B.2

thumbnail

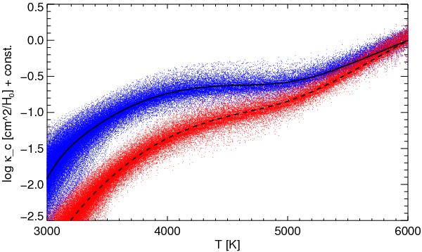
Continuous opacity due to H at λ 850 nm (solid line, cloud of blue dots), and due to H at λ 1600 nm (dashed line, cloud of red dots), as a function of temperature in the 3D model (dots) and in the ⟨ 3D ⟩ model (lines), respectively. The opacities have been computed according to Eqs. (8.12) and (8.13) by Gray (2005); they are given in units of cm2 per neutral hydrogen atom, and have been normalized to 1 at T = 6000 K. Both opacities are proportional to the electron pressure, and their ratio is a simple monotonic function of temperature. Note that κ(H is almost temperature insensitive between T = 4000 and 5000 K.

Current usage metrics show cumulative count of Article Views (full-text article views including HTML views, PDF and ePub downloads, according to the available data) and Abstracts Views on Vision4Press platform.

Data correspond to usage on the plateform after 2015. The current usage metrics is available 48-96 hours after online publication and is updated daily on week days.

Initial download of the metrics may take a while.