Open Access

Fig. 2

thumbnail

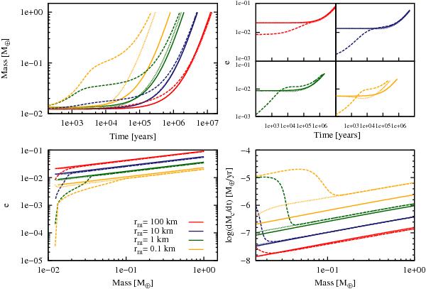
Left panel: the ratio between eccentricities (red) and inclinations (blue) as a function of the planet’s mass considering both the oligarchic and the quasi-runaway growth. Clearly, the planetesimals’ excitation is several times higher in the oligarchic growth than in the quasi-runaway growth. The right panel shows the impact of the planetesimals’ excitation in the accretion rate of solids: for the quasi-runaway growth (yellow) the accretion rate is much higher than in the oligarchic growth (green).

Current usage metrics show cumulative count of Article Views (full-text article views including HTML views, PDF and ePub downloads, according to the available data) and Abstracts Views on Vision4Press platform.

Data correspond to usage on the plateform after 2015. The current usage metrics is available 48-96 hours after online publication and is updated daily on week days.

Initial download of the metrics may take a while.