Open Access

Fig. 5

thumbnail

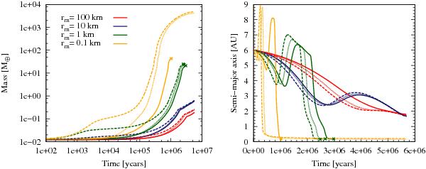
In situ planetary formation at 6 AU for different radii of the accreted planetesimals (red, 100 km; blue, 10 km; green, 1 km; orange, 0.1 km). The same line code as in Fig. 3 is adopted. The formation of the planet ends when the gas component of the disc is dispersed.

Current usage metrics show cumulative count of Article Views (full-text article views including HTML views, PDF and ePub downloads, according to the available data) and Abstracts Views on Vision4Press platform.

Data correspond to usage on the plateform after 2015. The current usage metrics is available 48-96 hours after online publication and is updated daily on week days.

Initial download of the metrics may take a while.