Free Access

Fig. 12

thumbnail

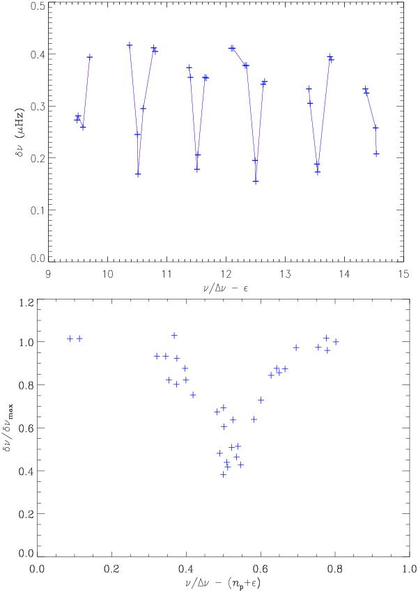
Top: observed rotational splittings as a function of νν for the Kepler star KIC 5356201 (Beck et al. 2012). For this star, the mean large separation is Δν = 15.92 μHz while the mean g-mode spaging is ΔΠ = 86.11 s and the maximum rotational splittings is δνmax = 0.405 nHz. Bottom: rotational splittings normalized to δνmax are folded with (ν − ν0)/Δν.

This figure is made of several images, please see below:

Current usage metrics show cumulative count of Article Views (full-text article views including HTML views, PDF and ePub downloads, according to the available data) and Abstracts Views on Vision4Press platform.

Data correspond to usage on the plateform after 2015. The current usage metrics is available 48-96 hours after online publication and is updated daily on week days.

Initial download of the metrics may take a while.