Free Access

Fig. 2

thumbnail

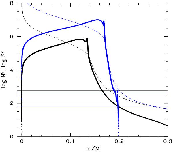
Logarithm of normalized squared Brunt-Väisälä N2 (solid curve) and ( = 1) Lamb frequencies (dash-dotted curve) as a function of the normalized mass m/M for model M1 () (black curves) and M2 () (blue curves). The thin horizontal solid lines indicate the frequency range for expected excited oscillation modes: black for model M1 and blue for M2.

Current usage metrics show cumulative count of Article Views (full-text article views including HTML views, PDF and ePub downloads, according to the available data) and Abstracts Views on Vision4Press platform.

Data correspond to usage on the plateform after 2015. The current usage metrics is available 48-96 hours after online publication and is updated daily on week days.

Initial download of the metrics may take a while.