Free Access

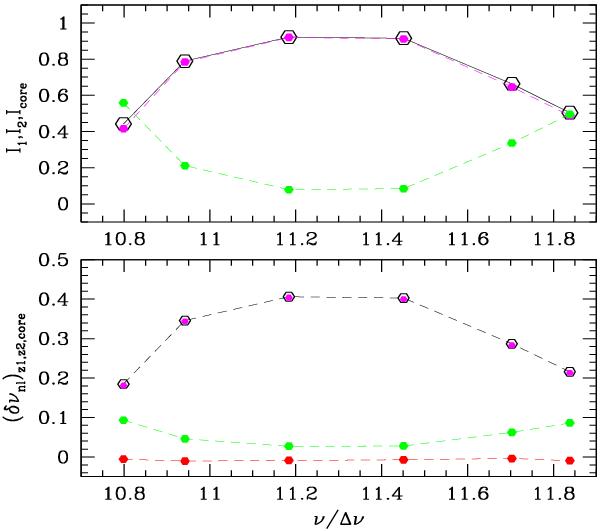
Fig. 7

thumbnail

Top: relative inertia contributions I1/I (green dots connected dashed line dots correspond to modes) and I2/I (Eq. (14)) (black), relative contribution ζ = Icore/I (magenta dashed line, hexagons correspond to modes). Bottom: contribution to the rotational splittings for model M1 due to only (green dashed line dots correspond to modes), contribution due to alone (black dashed lines and hexagons), contribution due to z1z2 alone (red-dashed line, dots correspond to modes); contribution to δνnl due to the core alone (magenta-filled hexagons).

Current usage metrics show cumulative count of Article Views (full-text article views including HTML views, PDF and ePub downloads, according to the available data) and Abstracts Views on Vision4Press platform.

Data correspond to usage on the plateform after 2015. The current usage metrics is available 48-96 hours after online publication and is updated daily on week days.

Initial download of the metrics may take a while.