Free Access

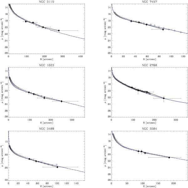
Fig. 3

thumbnail

Surface density profiles of PNe and stars. Open diamonds: surface brightness profiles obtained with ellipse fitting of the galaxy image. Filled circles: PNe number density, computed as −2.5   Log   Nc/A, where Nc is the completeness corrected number of PNe with m < m80 in the radial bin, and A is the area of the circular anulus. Blue lines represent the extrapolation of the sersic + exponential disk fit to the stellar surface brighness data.

This figure is made of several images, please see below:

Current usage metrics show cumulative count of Article Views (full-text article views including HTML views, PDF and ePub downloads, according to the available data) and Abstracts Views on Vision4Press platform.

Data correspond to usage on the plateform after 2015. The current usage metrics is available 48-96 hours after online publication and is updated daily on week days.

Initial download of the metrics may take a while.